成人电影

院图藏书介绍之三二----《日本生物武器作战调查资料》

来源:成人电影 发布时间:2024-05-01 12:07:07访问量:10

《日本生物武器作战调查资料》一套六册,由近藤昭二、王选等搜集、整理,2019年7月由社科文献出版社出版。

本书为首部有关日军侵华战争期间生物武器使用的多国档案文献集,收入英、日原文资料影印件近3000页,根据历史事件和发生时间,分成10章。资料内容由编者分章详细解说。每章有检索目录,资料按照时间顺序排列,每份资料附有中文点评,并说明出处。

英文档案文献资料主要为美国国家档案馆、国会图书馆、军事研究机构、大学和相关当事人文献所藏,包括美国、中国、苏联、日本的官方档案文献。其中,战时文献为以美国为主的盟军军事情报,以及中国政府向国际社会发布的日军在中国战场使用细菌武器的官方公告、调查报告等。战后文献,主要涉及细菌战问题的战后处理,首次汇集并整理了远东国际军事法庭国际检察局的相关文献,从中可见中国检察团坚持战时中国的外交立场,为追究日军在中国战场实施细菌战的战争犯罪所做的工作。此外,本书还收录了战后美国派遣至日本调查细菌战的军方调查官的报告,以及盟军占领军司令部法务局根据日本人的告发信,在日本各地对细菌战有关人员展开的调查。

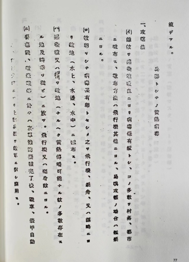
日文资料部分,包括日本细菌战项目启动后的初期资料及日军人员的相关活动资料,还有日本关东军防疫给水部队,即731部队的核心研究人员战后为取得博士学位提交的论文,为战时细菌武器开发研究的论文。其内容印证了中国政府在战时及战后国际审判时提出的日军在中国战场使用细菌武器的指控。本书还收入了731部队核心研究人员向美国军方调查官提交的三部细菌人体实验解剖报告,为美国军方研究机构所藏,涉及日军使用的有关细菌武器的开发,原文图片部分为彩色。

书中收入的最新日本军方第一手证据资料为2011年所第一次发现,远东国际军事法庭国际检察局的部分资料为2017年第一次发现。

资料集进一步证实了日本侵华战争期间使用生物武器的罪行。所搜集到的有关美国国家档案馆、美国国会图书馆、美国军方研究机构、日本国会图书馆等的资料,对日本在华实施细菌战的意图和研制、实施过程等问题做了全面的披露。同时,对战后盟军的调查、美苏两国的博弈、美军接收的有关日本细菌战资料的下落以及日本国内731部队、细菌战资料追索新动向等问题,展开了系统性的追踪调查。资料中还包括731部队有关细菌武器开发的人体实验解剖报告等,揭露了日军细菌战反人类反文明的暴行。

本套藏书院图特藏室有藏,欢迎师生阅览!


目录


第一册

1 创设——细菌战研究的开始

2 警觉——细菌武器的使用

3 情报——在中国实施的细菌战


第二册

4 证据——731部队金子顺一、高桥正彦论文集

5 远东国际军事法庭国际检察局调查


第三册

6 美国四任调查官赴日调查


第四册~第五册

7 日本细菌部队人员向美国提供的人体实验解剖报告


第六册

8 美国海军情报局技术情报中心报告

9 指控——盟军总司令部法务局调查

10 苏联的追究与美国的对策

返回原图
/